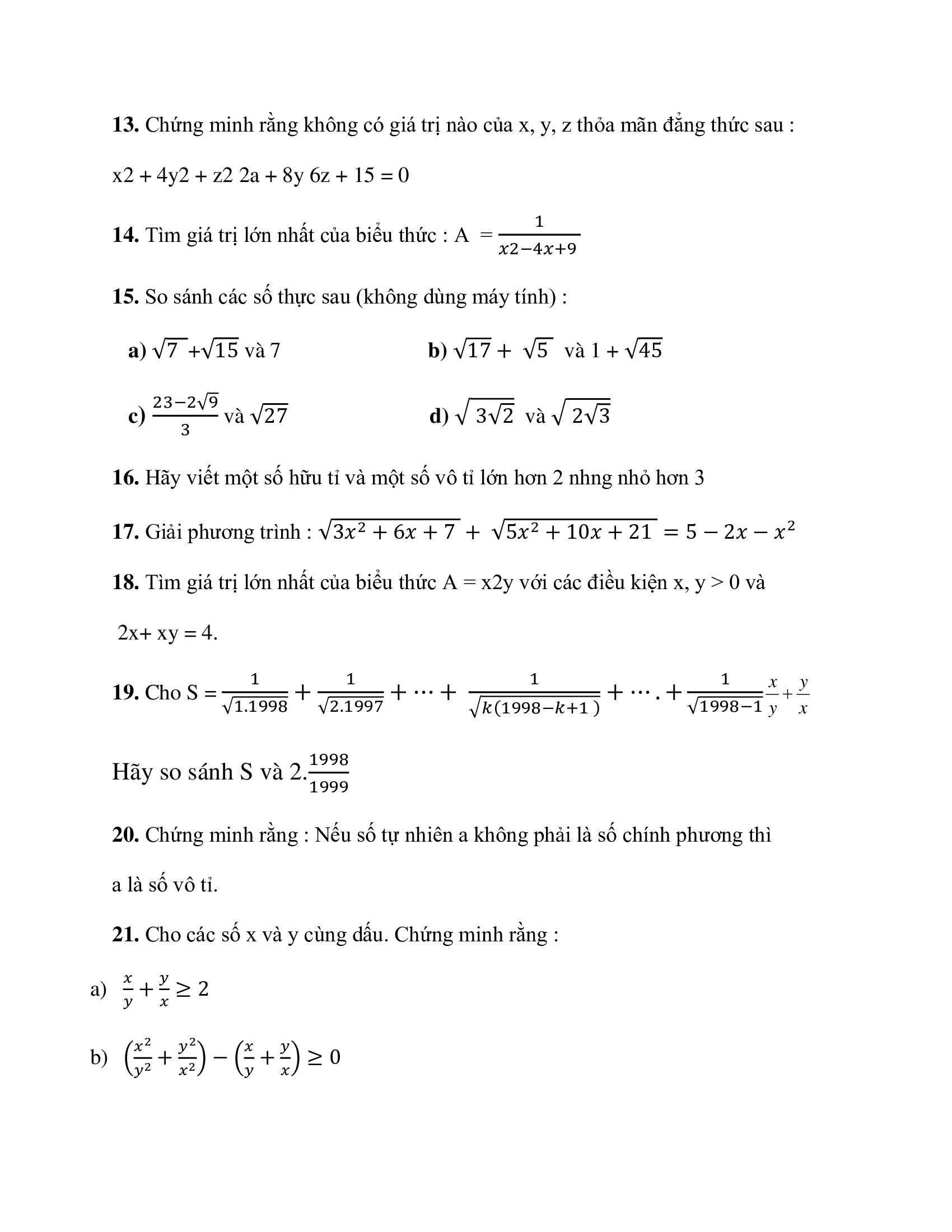
Một số bài toán bồi dưỡng HSG và năng khiếu THCS
Giới thiệu
Trang chủ
Tin tức
Học sinh ưu tú
Đào tạo & Tuyển sinh
Thư Viện
Toán
Văn
Anh
Lý
Hóa
Sinh
Sử
Địa
Những gương mặt mới
Liên hệ
Download tài liệu
Nhận xét- Đánh giá
Trang chủ
»
Thư Viện
»
Toán
»
Một số bài toán bồi dưỡng HSG và năng khiếu THCS
Loading...
Tất cả danh mục
Tin tức
Những gương mặt mới
học sinh ưu tú
Giới thiệu
Download
Địa
Sử
Sinh
Hóa
Lý
Anh
Văn
Toán
Bản Tin Thông Báo
Liên hệ
Nhận xét - Đánh giá
Cảnh báo
Thiết lập các thành phần VirtueMart cho mục menu
Một số bài toán bồi dưỡng HSG và năng khiếu THCS
Bài viết liên quan
Đề khảo sát HSG Toán 9 - THCS Ngô Sĩ Liên năm 2025
Đề kiểm tra đội tuyển môn Toán 9 - THCS Nam Từ Liêm năm 2025-2026 (có đáp án)
Đề thi chọn học sinh giỏi Toán 12 năm 2025 – 2026 Sở GD&ĐT Hà Nội
Đề thi vào lớp 10 môn toán - Sở Giáo dục TP Hồ Chí Minh năm 2025
Đề thi vào lớp 10 môn toán - THPT Chuyên Phan Bội Châu- Nghệ An năm 2025
Đề thi vào 10 chuyên KHTN môn Toán năm 2025
Đề tuyển sinh lớp 10 môn Toán THPT tỉnh Thái Bình năm 2025-2026
Đề thi tuyển sinh vào 10 môn Toán trường THPT chuyên KHXH và nhân văn năm 2025-2026
Đề rà soát chất lượng lần V môn Toán lớp 9- THPT chuyên Hà Nội- AMSTERDAM năm 2024-2025 (có đáp án chi tiết)
Đề khảo sát kiến thức vào 10 môn Toán (lần 2) THPT Chuyên Sơn Tây năm 2025-2026 (có đáp án)
Đăng nhập
Quên mật khẩu?
Quên tên đăng nhập?
Tạo tài khoản
Bài viết đáng quan tâm
KIÊN TRÌ LÀ SỨC MẠNH
NIỀM TIN VÀ SỰ ĐAM MÊ
Thầy Nguyễn Bá Thịnh Đồng hành cùng các bạn học sinh lớp 12 trong kỳ thi THPT quốc gia
NHỮNG CHA MẸ CÓ CON HỌC CẤP 1 TUYỆT ĐỐI KHÔNG ĐƯỢC BỎ QUA BÀI VIẾT NÀY!
NHỮNG ĐIỀU PHỤ HUYNH , HỌC SINH CẦN BIẾT VỀ ĐẶC ĐIỂM CÁCH THI CHỌN ĐẦU VÀO và PHONG CÁCH HỌC CỦA CÁC TRƯỜNG CHUYÊN
THÂN GỬI CÁC EM HỌC SINH LỚP 12 YÊU QUÝ
THÂN GỬI CÁC BẠN HỌC SINH LỚP 9 CHUẨN BỊ THI VÀO LỚP 10 THPT CHUYÊN
THÂN GỬI CÁC BẠN LỚP 5, LỚP 9 VÀ LỚP 12
Thầy Nguyễn Bá Thịnh: GỬI GẮM CÁC EM HỌC SINH CÙNG MÙA WORLD CUP.
ĐÔI ĐIỀU TÌM HIỂU VỀ TRUNG TÂM LUYENTHI CLC (Thầy Nguyễn Bá Thịnh)
Video
Liên Hệ Tư Vấn
0969.330.758
0969.330.758
Thống kê truy cập
Đang truy cập
1583
Hôm nay
2958
Hôm qua
3964
Tuần này
10685
Tuần trước
25404
Tháng này
14478
Tháng trước
125589
Tổng cộng
6019065