Thư Viện - www.luyenthiclc.edu.vn
Giới thiệu
Trang chủ
Tin tức
Học sinh ưu tú
Đào tạo & Tuyển sinh
Thư Viện
Toán
Văn
Anh
Lý
Hóa
Sinh
Sử
Địa
Những gương mặt mới
Liên hệ
Download tài liệu
Nhận xét- Đánh giá
Trang chủ
»
Thư Viện
Loading...
Tất cả danh mục
Tin tức
Những gương mặt mới
học sinh ưu tú
Giới thiệu
Download
Địa
Sử
Sinh
Hóa
Lý
Anh
Văn
Toán
Bản Tin Thông Báo
Liên hệ
Nhận xét - Đánh giá
Cảnh báo
Thiết lập các thành phần VirtueMart cho mục menu
Theo dõi RSS này
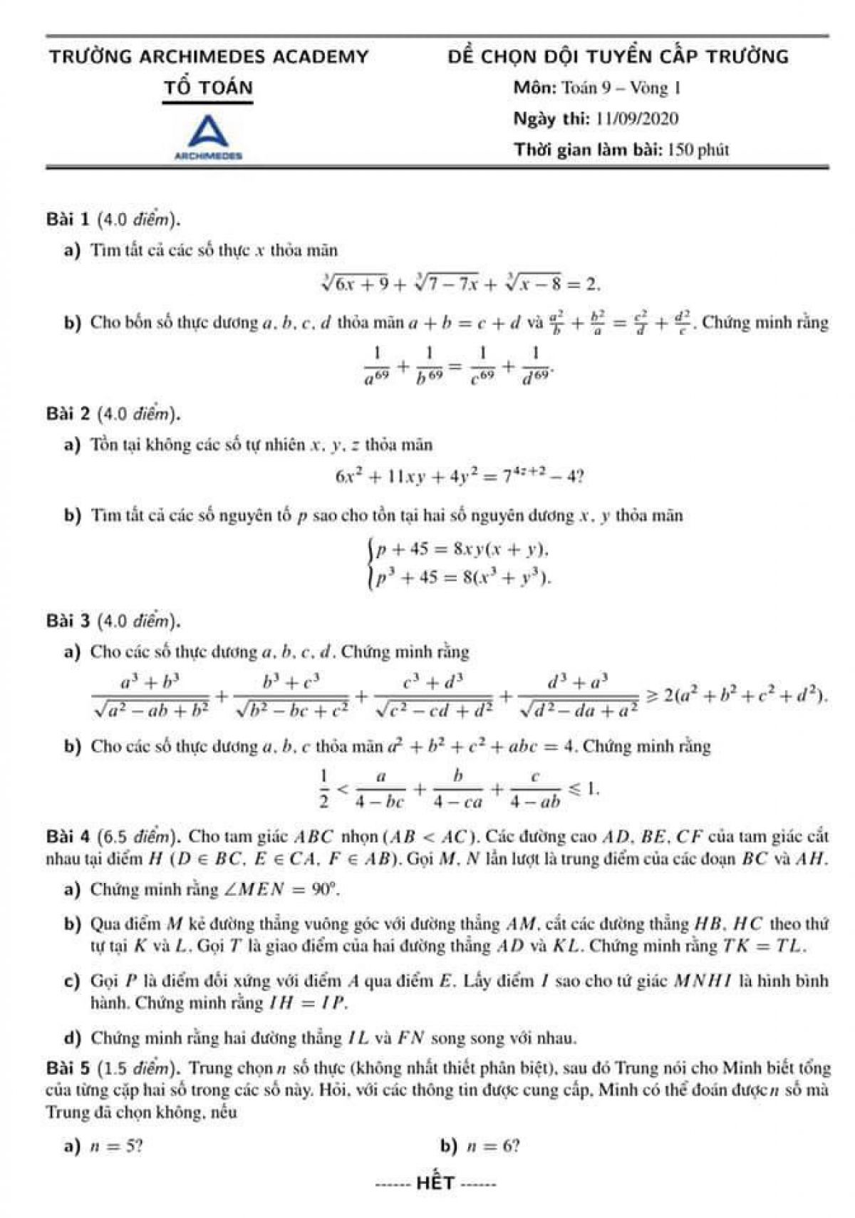
Đề chọn đội tuyển cấp trường môn Toán 9 - Vòng 1 Trường Archimedes Academy năm 2020
Đề thi tuyển sinh vào lớp 10 Archimedes Đông Anh môn Toán chuyên
Đề kiểm tra kiến thức lớp 9 môn Toán ( Vòng 1 - Đợt 2 ) Trường THPT CHUYÊN KHTN năm 2020
Đề kiểm tra chất lượng lớp 9 môn Toán chuyên Trường Archimedes Academy năm 2020
Đề thi tuyển sinh vào lớp 10 Trường THPT CHUYÊN Hoàng Văn Thụ, tỉnh Hòa Bình năm 2020
Đề thi tuyển sinh vào lớp 10 môn Toán Trường Chuyên Khoa học Xã hội và Nhân văn năm 2020
Đề thi tuyển sinh vào lớp 10 Chuyên môn Toán tại Hà Nội năm 2020
Đề thi tuyển sinh vào Trường Trung học Thực hành Đại học Sư phạm TP Hồ Chí Minh môn Toán năm 2020
Đề thi tuyển sinh vào lớp 10 và đáp án môn Ngữ Văn Trường THPT Chuyên Hoàng Văn Thụ tỉnh Hòa Bình năm 2019
Đề thi thử THPT Quốc Gia và đáp án môn Ngữ Văn tỉnh Thái Nguyên năm 2018
Thêm...
Đề thi HSG lớp 9 - vòng 1 môn Ngữ Văn huyện Qùy Hợp, Nghệ An năm 2018
Đề thi HSG cấp trường và đáp án môn Ngữ Văn Trường THCS Võ Thị Sáu, tỉnh Bà Rịa - Vũng Tàu năm 2018
Đề thi chọn HSG cấp huyện môn Ngữ Văn 8 huyện Hưng Hà, tỉnh Thái Bình năm 2017
Đề thi chọn HSG lớp 8 môn Ngữ Văn huyện Bình Xuyên, tỉnh Vĩnh Phúc năm 2017
Trang đầu
Trang trước
239
240
241
242
243
244
245
246
247
248
Trang sau
Trang cuối
Đăng nhập
Quên mật khẩu?
Quên tên đăng nhập?
Tạo tài khoản
Bài viết đáng quan tâm
KIÊN TRÌ LÀ SỨC MẠNH
NIỀM TIN VÀ SỰ ĐAM MÊ
Thầy Nguyễn Bá Thịnh Đồng hành cùng các bạn học sinh lớp 12 trong kỳ thi THPT quốc gia
NHỮNG CHA MẸ CÓ CON HỌC CẤP 1 TUYỆT ĐỐI KHÔNG ĐƯỢC BỎ QUA BÀI VIẾT NÀY!
NHỮNG ĐIỀU PHỤ HUYNH , HỌC SINH CẦN BIẾT VỀ ĐẶC ĐIỂM CÁCH THI CHỌN ĐẦU VÀO và PHONG CÁCH HỌC CỦA CÁC TRƯỜNG CHUYÊN
THÂN GỬI CÁC EM HỌC SINH LỚP 12 YÊU QUÝ
THÂN GỬI CÁC BẠN HỌC SINH LỚP 9 CHUẨN BỊ THI VÀO LỚP 10 THPT CHUYÊN
THÂN GỬI CÁC BẠN LỚP 5, LỚP 9 VÀ LỚP 12
Thầy Nguyễn Bá Thịnh: GỬI GẮM CÁC EM HỌC SINH CÙNG MÙA WORLD CUP.
ĐÔI ĐIỀU TÌM HIỂU VỀ TRUNG TÂM LUYENTHI CLC (Thầy Nguyễn Bá Thịnh)
Video
Liên Hệ Tư Vấn
0969.330.758
0969.330.758
Thống kê truy cập
Đang truy cập
817
Hôm nay
123
Hôm qua
6029
Tuần này
13879
Tuần trước
25404
Tháng này
17672
Tháng trước
125589
Tổng cộng
6022259