Thư Viện - www.luyenthiclc.edu.vn
Giới thiệu
Trang chủ
Tin tức
Học sinh ưu tú
Đào tạo & Tuyển sinh
Thư Viện
Toán
Văn
Anh
Lý
Hóa
Sinh
Sử
Địa
Những gương mặt mới
Liên hệ
Download tài liệu
Nhận xét- Đánh giá
Trang chủ
»
Thư Viện
Loading...
Tất cả danh mục
Tin tức
Những gương mặt mới
học sinh ưu tú
Giới thiệu
Download
Địa
Sử
Sinh
Hóa
Lý
Anh
Văn
Toán
Bản Tin Thông Báo
Liên hệ
Nhận xét - Đánh giá
Cảnh báo
Thiết lập các thành phần VirtueMart cho mục menu
Theo dõi RSS này
Đề khảo sát chất lượng giữa kì I môn Toán lớp 8 quận Hà Đông năm 2020
Đề kiểm tra giữa học kì I môn Toán lớp 9 Trường THCS Thành Công năm 2019
Đề kiểm tra giữa kì I và đáp án môn Toán lớp 9 tháng 10 Trường THCS Hoàng Hoa Thám năm 2017
Đề kiểm tra giữa học kì I môn Toán lớp 9 Trường THCS Ngô Sĩ Liên năm 2018
Đề kiểm tra giữa kì I và đáp án môn Toán lớp 9 tháng 10 Trường THCS AMSTERDAM năm 2020
Đề kiểm tra giữa học kì I môn Toán lớp 8 Trường THPT CHUYÊN Hà Nội - Amsterdam năm 2020
Đề kiểm tra tháng 10 môn Toán lớp 9 Trường THCS ARCHIMEDES ACADEMY năm 2020
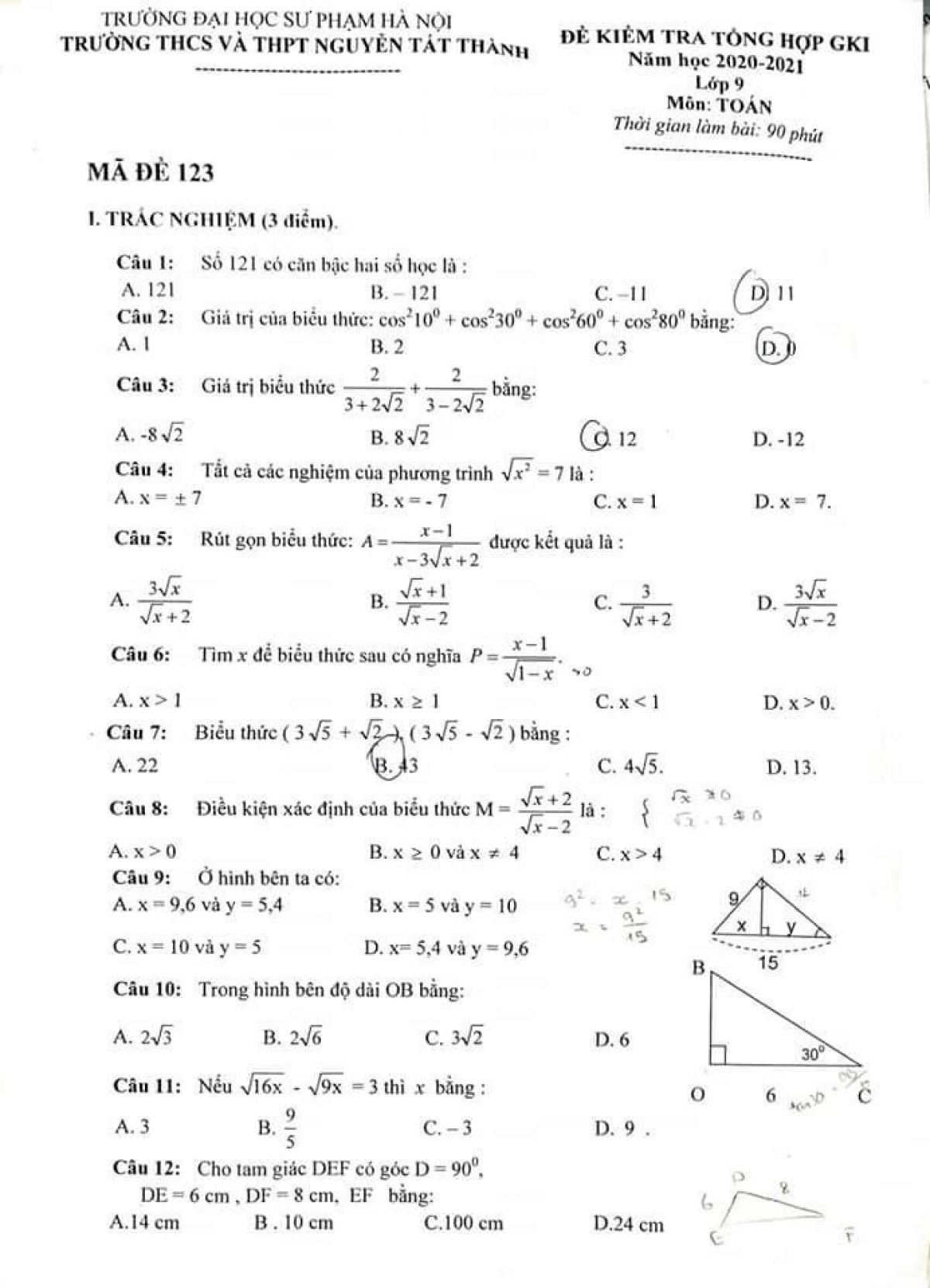
Đề kiểm tra giữa kì I môn Toán lớp 9 Trường Đại học Sư phạm Hà Nội năm 2019
Đề kiểm tra giữa học kì I môn Toán lớp 9 quận Tây Hồ năm 2020
Đề kiểm tra chọn đội tuyển HSG môn Hóa Học lớp 9 Trường THPT CHUYÊN Hà Nội - Amsterdam năm 2020
Thêm...
KẾT QUẢ THI HSG THÀNH PHỐ (HÀ NỘI) NĂM HỌC 2020-2021 KHỐI THPT.
Đề kiểm tra tổng hợp giữa kì I môn Toán lớp 9 Trường THCS Nguyễn Tất Thành năm 2020
Đề tham khảo đề tuyển sinh vào lớp 10 THPT môn Toán Thành phố Hồ Chí Minh năm 2020
Đề thi HSG văn hóa cấp quận vòng 1 môn Hóa Học quận Tây Hồ năm 2017
Trang đầu
Trang trước
212
213
214
215
216
217
218
219
220
221
Trang sau
Trang cuối
Đăng nhập
Quên mật khẩu?
Quên tên đăng nhập?
Tạo tài khoản
Bài viết đáng quan tâm
KIÊN TRÌ LÀ SỨC MẠNH
NIỀM TIN VÀ SỰ ĐAM MÊ
Thầy Nguyễn Bá Thịnh Đồng hành cùng các bạn học sinh lớp 12 trong kỳ thi THPT quốc gia
NHỮNG CHA MẸ CÓ CON HỌC CẤP 1 TUYỆT ĐỐI KHÔNG ĐƯỢC BỎ QUA BÀI VIẾT NÀY!
NHỮNG ĐIỀU PHỤ HUYNH , HỌC SINH CẦN BIẾT VỀ ĐẶC ĐIỂM CÁCH THI CHỌN ĐẦU VÀO và PHONG CÁCH HỌC CỦA CÁC TRƯỜNG CHUYÊN
THÂN GỬI CÁC EM HỌC SINH LỚP 12 YÊU QUÝ
THÂN GỬI CÁC BẠN HỌC SINH LỚP 9 CHUẨN BỊ THI VÀO LỚP 10 THPT CHUYÊN
THÂN GỬI CÁC BẠN LỚP 5, LỚP 9 VÀ LỚP 12
Thầy Nguyễn Bá Thịnh: GỬI GẮM CÁC EM HỌC SINH CÙNG MÙA WORLD CUP.
ĐÔI ĐIỀU TÌM HIỂU VỀ TRUNG TÂM LUYENTHI CLC (Thầy Nguyễn Bá Thịnh)
Video
Liên Hệ Tư Vấn
0969.330.758
0969.330.758
Thống kê truy cập
Đang truy cập
542
Hôm nay
1610
Hôm qua
6029
Tuần này
15366
Tuần trước
25404
Tháng này
19159
Tháng trước
125589
Tổng cộng
6023746